Marine tidal swimming pools of southern Africa
Click here to see the tidal pools in southern Africa map
What are Tidal Pools?
They range from mere walled-off natural rock pools to elaborate concrete structures that are designed to fill with every high tide. A few were regular swimming pools built close to the shore and filled with pumped seawater.
Who built them?
In South Africa, which has at least 90 existing tidal pools, the tradition began with the arrival of the British military at the Cape in 1795.
There are tidal pools in England, Portugal, France, and Australia, and a small number of constructed tidal rock pools.
Why were they built?
To provide safe swimming spaces, where the presence of rocks, large waves or even the danger of shark attacks makes the sea unsafe for swimming. Some were municipal pools used for swimming that utilised pumped fresh seawater.
Their existence in any location reflects the needs, abilities and resources of the local community to build and maintain the facility.
Where in South Africa were they built?
Tidal pools are clustered mainly around Cape Town, Port Elizabeth, East London and Durban - the main British colonial cities of the 19th century. Numerous small towns also developed as holiday destinations for visitors, along the Cape coast and the Natal south coast, where many tidal pools exist still today.

The only other places in the world where tidal pools exist are Portugal and there are a few in Australia and some in the UK, because title pools originated there at the time of the advent of resorts and resort culture. South Africa imported that concept. Serai Dowling - Ride the Vibe (below)
Around Cape Town, where locals which as a dense population of are cold, rough, and shark-infested, and the shoreline is mostly rock. The west coast has long sandy beaches with few settlements where swimmers might require the safety of a tidal pool. Similarly, the coast of northern Natal has hundreds of kilometres of sandy beaches, with few settlements.
The British colonists, who began arriving at the Cape in 1795, introduced sea swimming and tidal pools in South Africa. There is no evidence that pre-colonial inhabitants (Khoi, Strandlopers, or San) of southern Africa swam in the sea. The employees of the Dutch East India Company, who created Cape Town (Kaapstad) after establishing a waystation there in 1652, left extensive records of their activities and mentioned sea swimming. There is, however, a mention in a footnote in a VOC document, 28 Januarie 1690 Dagregister. It records that a convict named Johannes Rijkman van Weij escaped by swimming to shore! So swimming was not unknown to the Dutch settlers at that time, and perhaps they did swim, but left no record of it.
In South Africa, tidal swimming pools were usually built by municipalities, local holidaymaker community groups, or private individuals. Unlike indoor swimming pools, which were often built as part of a commercial enterprise, tidal pools were usually free for all to use. Several tidal pools were built during the early 1950s along the Natal South Coast after the occurrence of a relatively large number of shark attacks on bathers on that coast. Tidal pools range from a wall built across the mouth of a rock gully in a remote location to large municipal facilities like the Sea Point Pavilion.
The first English Church service of which we know was held in Cape Town by a naval chaplain of the fleet returning from India on April 20, 1749. The British military, which invaded the Cape in 1795, brought with them their love for water sports (and gambling). Ornate water festivals, which included swimming races, water polo, diving and other entertainments, were popular in England since the middle-1700's. At the Cape they swam in the rivers, vleis, Table Bay and in the harbour, and also in indoor swimming pools, like the Claremont and Long Street Baths. A 1869 British newspaper article mentions a floating pool in Table Bay, which survived a big storm. Such floating structures were (and still are) popular in Europe.
In the late 1700's, a concrete wall was built across a gully in the rocks, creating a safe bathing pool in Sea Point. This became part of a thriving social scene before it washed away in a storm, as the northwesterly winds can create enormous waves in Table Bay. Today, the location is known as Broken Bath Beach.

Click here to see a map of 87 tidal pools in southern Africa →
The coastline of southern Africa can be divided into two sectors that meet at Cape Point.
To the west lies the Atlantic Ocean and the Benguela current - a cold, northward-flowing current, part of the South Atlantic Gyre.
Along the east coast, the Agulhas current flows southward. It is one of the fastest and strongest currents in the world, bringing warm waters south from the tropics.
Northwards from Cape Point, there are a few harbours, towns, or tidal pools. The coastline features long sandy shores, kept arid and sparsely populated by the cold waters of the Benguela current.
From Cape Point eastwards, the coastline becomes rugged and the water increasingly warm. Numerous small holiday towns accommodate holidaymakers from inland towns in the Orange Free State and Transvaal.
The Natal south coast was a popular holiday destination where the danger of shark attacks also motivated communities to build safe swimming facilities along the coast.
There are tidal pools along the coastline of southern Africa, from Walvis Bay to Richards Bay, which is 3500 km long. The majority of pools are clustered around the Cape and Durban.
Over time, some pools have washed away or been demolished, while others are no longer usable due to a lack of maintenance.
Tidal Pools of South Africa
Click the square on the right to view the full-size map.

A SURVEY OF MAN-MADE TIDAL SWIMMING POOLS ALONG THE SOUTH AFRICAN COAST
By D E BOSMAN* D J P SCHOLTZ**
- INTRODUCTION
A large number of man-made tidal swimming pools (two examples are shown in Figure 1) exist along the South African coast. They are usually situated on rocky outcrops in the close vicinity of popular sandy bathing beaches to provide protected bathing conditions in these areas, mainly for children and elderly people. Some tidal pools, especially along rocky coast, provide the only safe bathing facilities. Besides affording protection against waves and surf zone currents, the pools provide protection from sharks. A large number of tidal pools were built during the early 1950s along the Natal South Coast after the occurrence of a relatively large number of shark attacks on bathers on that coast.
The semi-diurnal tide with a range of about 1,5 m along the South African coast makes it possible for pools to be built such that water replenishment can occur during every high-water (approximately every 12 hours) during both neap and spring tide periods.
Presently, there exists a great need for more tidal pools as part of the demand for more recreational facilities along the South African coast. However, no information on design criteria could be found in the literature.
- OBJECTIVES
Because of the existing lack of design guidelines for tidal pools, it was decided to make a detailed survey of the existing pools. Data obtained from such a survey could then contribute to the first step in identifying factors which should be considered to ensure safe swimming conditions, effective operation of pools, minimum maintenance and minimum impact on the environment.

- METHODS USED
Information on types, physical characteristics, maintenance, operation and usage was obtained from questionnaires sent to local authorities, followed up by discussions with the authorities and by making site visits to the pools. Detailed observations, such as the rate of overtopping versus tidal levee, were made at 13 of these pools. Available aerial photographs of pools were also used as a source of information on the location and environment of the pools.
- RESULTS
4.1 General
Data for 80 tidal pools (about 90 per cent of the existing pools along the 3,000 km coast) were obtained. Most of these pools are situated in the more highly developed coastal areas, i.e. the Cape Peninsula, Natal South coast, Port Elizabeth and East London areas. The distribution of tidal pools along the South African coast is shown in Figure 2. It was found that tidal pools play an important role in providing safe bathing conditions. On rocky coasts and dangerous sandy beaches, tidal pools provide, in many cases, the only safe bathing conditions, and where a safe bathing beach for adults exists, a tidal pool close to it can provide in the important need of safe bathing conditions for small children.
4.2 Types
Two basic types of pools could be distinguished:
(i)Pools which are partly enclosed by walls. The landward sides of these pools consist of sandy beaches.
(ii)Pools which are fully enclosed by walls. These are either attached to the shore or can become detached from the shore during the high-water.
Figure 3 illustrates the different types schematically. The pools, which are partly enclosed by walls, are usually situated on beaches with relatively flat slopes. (See a, Figure 3). Their walls enclose part of the beach so that the depth in the pool varies from zero at the beach to the maximum depth of the pool at the seaward side. Wall crest levels of these pools are relatively low, so that they usually do not significantly interrupt the longshore sediment movement in the beach zone. The pools, which are fully enclosed by walls, are usually situated on beaches with relatively steeper slopes. Pool b in Figure 3 illustrates the detached type, and pool d the type attached to the beach with relatively high walls which exclude the beach from the pool and reach up to the primary dune. The semi-detached type (c, Figure 3) tends to intercept the longshore sediment transport on the beach with a consequent sand build-up next to the pool. The sand build-up can be of such an extent that large quantities of sand can eventually enter the pool.

4.3 Physical Characteristics.
The walls of all pools (mostly of mass concrete) are founded on rock except in one case, where the walls are partly founded on steel sheet piles driven 6 m into sand. (Besides serving as a foundation support to the wall, the sheet piles also limit seepage of water from the pool). The foundation level of the walls is, in most cases, above the mean low spring tide level.
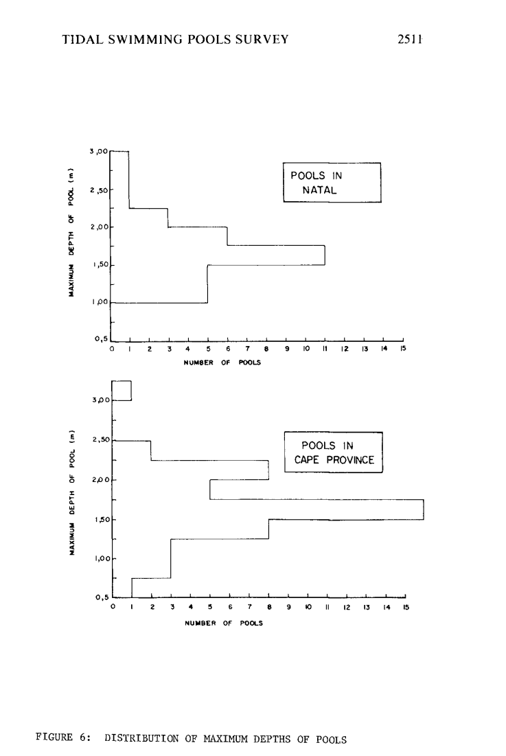
Distributions of pool water area, wall crest level and maximum pool depth for the majority of the pools in Natal and Cape Province are shown in Figures 4, 5 and 6, respectively, and the dominant ranges of these are summarised in the table below:

The wall crest levels of most of the pools are above the mean high water spring tidal level, with the predominance of crest levels about 0,1 m to 0,5 m above mean high water spring level.
The majority of the pool walls facing the approaching waves have seaward slopes between 2:1 and vertical, and crest widths between 0,4 m and 1,0m.
Pool floors usually consist of either sand, rock or a combination of the two. Some pools have concrete floors.
All pools are provided with drain pipes at the lowest position in the pool to allow drainage during low water spring tides.
4.4 Operation
Detailed observations made of 13 pools showed that the rate of water inflow due to wave overtopping as well as the tidal level at which inflow commences, is largely influenced by the location of the pool (namely, whether protected from wave attack by shallow rocky outcrops or whether exposed to large waves).
Other important factors influencing inflow are tidal level, wall crest level, offshore wave conditions and local wind conditions.



Because of the above many factors, a large range in the water inflows during high water spring tide of between 20 and 650 m 3per m length of wall was recorded.
4.5 Maintenance
A large number of pools are drained fortnightly to clean the pools, remove accumulated sand and to enable the rock and concrete surfaces to be washed with lime to control the growth of slippery algae. Other chemicals used to control algal growth are carbide and copper sulphate. Several well-sited pools with low crest levels are self-maintaining since inflow is frequent and sufficient to minimise the growth of algae and sand accumulation. These pools are usually submerged during high-water spring tides.
4.6 Problems
A few pools are frequently sanded up due mainly to incorrect siting. Two of these are sanded up to such an extent that they are out of use. Water replenishment at about eight of the pools is considered to be insufficient. This leads to stagnant water conditions and excessive algal growth. Some of the pools are dangerous since bathers can be washed from the side or back walls out to sea. Parts of the walls of three of the pools have been destroyed by waves. This was probably due to weak walls and improper bonding between the wall and the rock foundation.
- DESIGN FACTORS TO BE CONSIDERED
The study indicated a number of factors which should be considered in the design of a recreational tidal swimming pool.
(a) The needs of the bathers: It should be established whether provision should be made for small children as well as adults, and the type of bathing (e.g. swimming, diving, playing, etc.) required by the bathers.
(b) The siting of the pool: The pool should preferably be situated so that the walls can be founded on rock where possible. Where no rock foundation is present, sheet piling could be considered as a foundation for the walls. Seasonal variation of the beach profile, as well as longshore sediment transport in the beach zone, should be considered in the siting to prevent the pool from being sanded up. Sufficient consideration should also be given to the aesthetic and ecological considerations to minimise the impact of the structure on the environment.
(c)Water replenishment by wave action: Sufficient quantities of fresh seawater should enter the pool frequently enough, and overflow should be situated so that adequate renewal of water throughout the pool is ensured. A general criterion for inflow would be to stipulate that inflow should occur at least during high water neap tides with dominant wave conditions. The walls should be built rather too low than too high since it will be easier to raise the walls if this is found to be necessary afterwards. The seaward slope of the wave-facing wall should be about 2 horizontally or flatter vertically, since flatter slopes increase overtopping and stability.
(d) Safety: The pool floor should be even, and if the pool is not of uniform depth, the slopes should be gentle. Situations where overwash from walls to sea can occur, which could be a danger to bathers, should be prevented. Intakes of drain pipes should be covered with grids. Notice boards indicating water depths should be provided.
(e) Maintenance: The floor level of the pool should be above the low water springs to allow drainage. It appears to be good practice to whitewash the walls with lime when the pool is cleaned as this apparently retards the growth of algae and shells and also gives the pool an attractive and tidy appearance.
* D E BOSMAN: Geusteyn, Forsyth &. Joubert, Inc., Republic of South Africa.
** D J P SCHOLTZ: National Research Institute for Oceanology, Republic of South Africa.
South African sea pools
The beauty and politics of tidal pools
Kevin Fellingham

Strandfontein Tidal Pool. Photo: Jay Caboz
South Africa’s coastline is populated by around 90 tidal pools – places of sanctuary from the wild South Atlantic Ocean and witnesses to apartheid – some of which are captured in this extract from Chris Romer-Lee’s book Sea Pools: 66 saltwater sanctuaries from around the world, published by Batsford.
At a few places along the coast of what is now known as the Southern Cape, low tide reveals walls of loosely piled rocks and stones, too porous to retain the retreating sea, but impenetrable to the fish who might have crossed over at high water. What they have in common with the tidal pools of more recent times is the relative calm of the water within, with the waves exhausting their power against the sheltering walls. Like the bathing pools, these were built to modify the environment in the interests of humans. They were built in the past for trapping fish to eat, which brings pleasure, along with sustenance, but it is difficult to imagine that the children of those first people didn’t gain pleasure from simply splashing around in the water, or even floating on their backs in the dark and warm shallows, looking up at the southern sky.
Tidal pools make an interzone between the ocean and the land, they sit on the edge between things, and this gives them a certain charge, a hint of what would be theorised as the sublime – a place to experience the terrors offered by nature without suffering their full consequences – offering a state between exposure and enclosure. All along the South African coastline, children still stand on the edge of the seawalls, now made of concrete, often crumbling, and dare the waves of the rising tide to wash them off and into the pool behind them. Because of where they are, these children will often be predominantly of one ethnicity or another, one class or another, although increasingly those boundaries are being worn down, like the walls themselves, through the work of time.
The tidal pool as a type has two origins in South Africa, one ancient and indigenous, one more recent and colonial, brought over by the British to tame the wildness of the Southern Ocean, to make it into something more amenable to the idea of a summer beside the seaside. In the Western Cape, known to those who lived beyond its ever-encroaching eastern border as iNtshona-Koloni, formal segregation was established under British rule, and later hardened under the high apartheid of the 1960s to the extent that access to the ocean was to be allowed in one place or another only to one race or another, ‘Whites Only’ signs on the benches and the beaches ensuring that the pleasures of nature would not be shared, and that a mixing of bodies wouldn’t lead to a further mixing of genes.
There are no simple pleasures in South Africa: everything has a history in the remaking being worked out, economically, socially, environmentally and in the intersections between each and all the others. But the sea pools remain for the moment, many in decay, but all poised between time and tide, between historical pain and remembered pleasures.
There are no simple narratives in South Africa.

DALEBROOK TIDAL POOL
Location Cape Town, South Africa
Built First formal wall built in 1903; pool augmented in 1907 and 1914
Designer/Engineer Mr F.B. Steer
Size 30 x 30m
This is one of the most loved and frequented tidal pools in Cape Town; it’s also one of the most photographed, particularly at sunrise.

HARMONY PARK Location Strand, False Bay, Cape Town, South Africa Built 1991–92 Designer/Engineer The Planning Partnership and Interplan Architects Size 300 x 150 x 1.5m
In August 1989, Archbishop Desmond Tutu defied orders from the apartheid government and led hundreds of protestors to picnic at ‘whites only’ Strand beach. Less than 2km away from Harmony Park Resort, at Strand Tutu declared, ‘We have proved these are God’s beaches.’
Along the south coast of KZN there is evidence of at least three basic pools set within the sand and rock. Two are still working, one of which is King’s Tidal Pool.
https://www.outdoorswimmingsociety.com/
https://www.outdoorswimmingsociety.com/south-african-sea-pools/
SEA POOLS: 66 Saltwater Sanctuaries from Around the World, edited by Chris Romer-Lee, is published by Batsford, priced £25
Kevin Fellingham
Ride the tide vibe
Swimming in tidal pools - or simply immersing yourself in their icy waters - offers physical and mental health benefits, along with joie de vivre



Along the Cape south coast, there are many stone wall structures which look like tidal swimming pools, but were actually built to catch fish at low tide. These were originally thought (Avery 1975 below) to have been built by pre-colonial inhabitants, but research (Hine et al 2010) shows that they were constructed by colonial settlers.


